МАУДО г. Нижневартовска «СШОР «Самотлор» отчиталось о деятельности за 2024 год

@nv86

МАУДО г. Нижневартовска «СШОР «Самотлор» отчиталось о деятельности за 2024 годФОТО - СШОР Самотлор

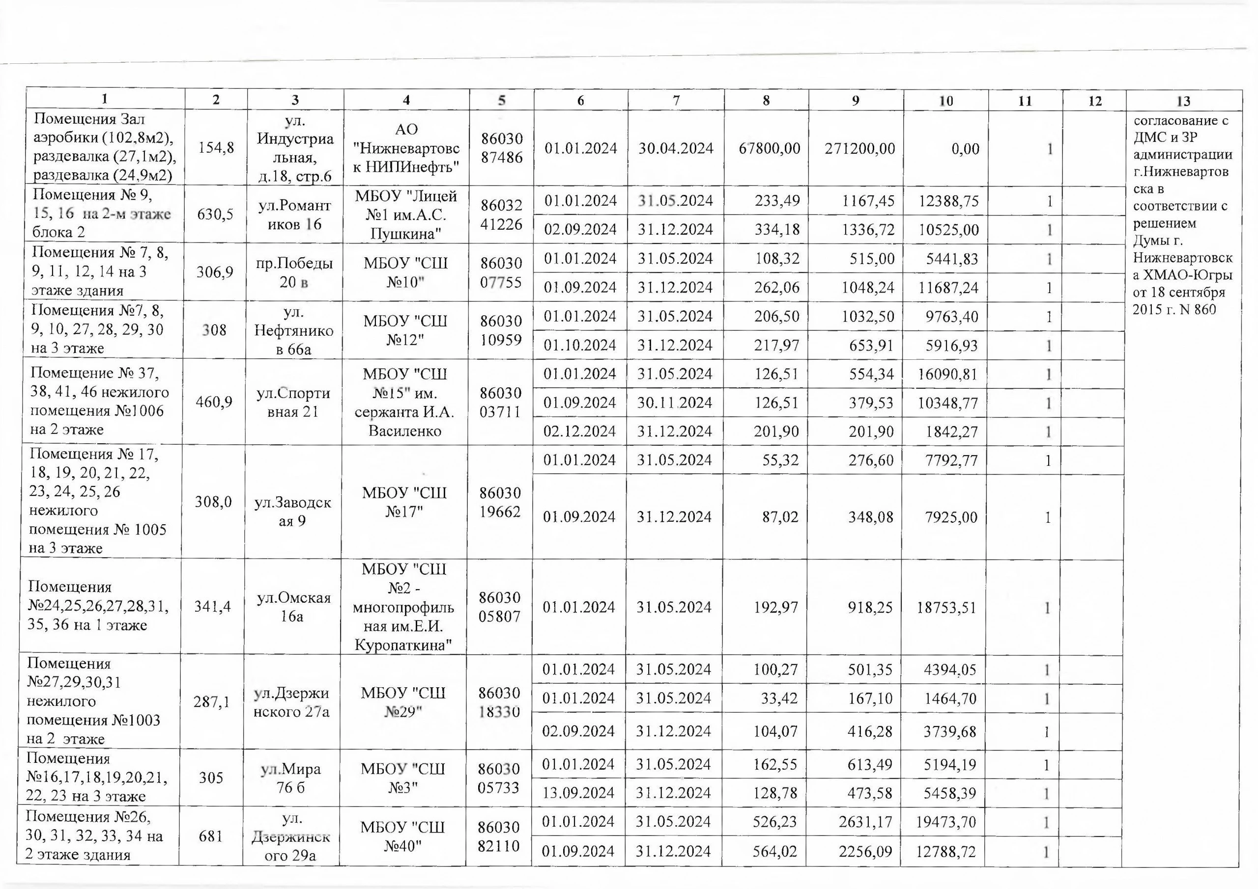
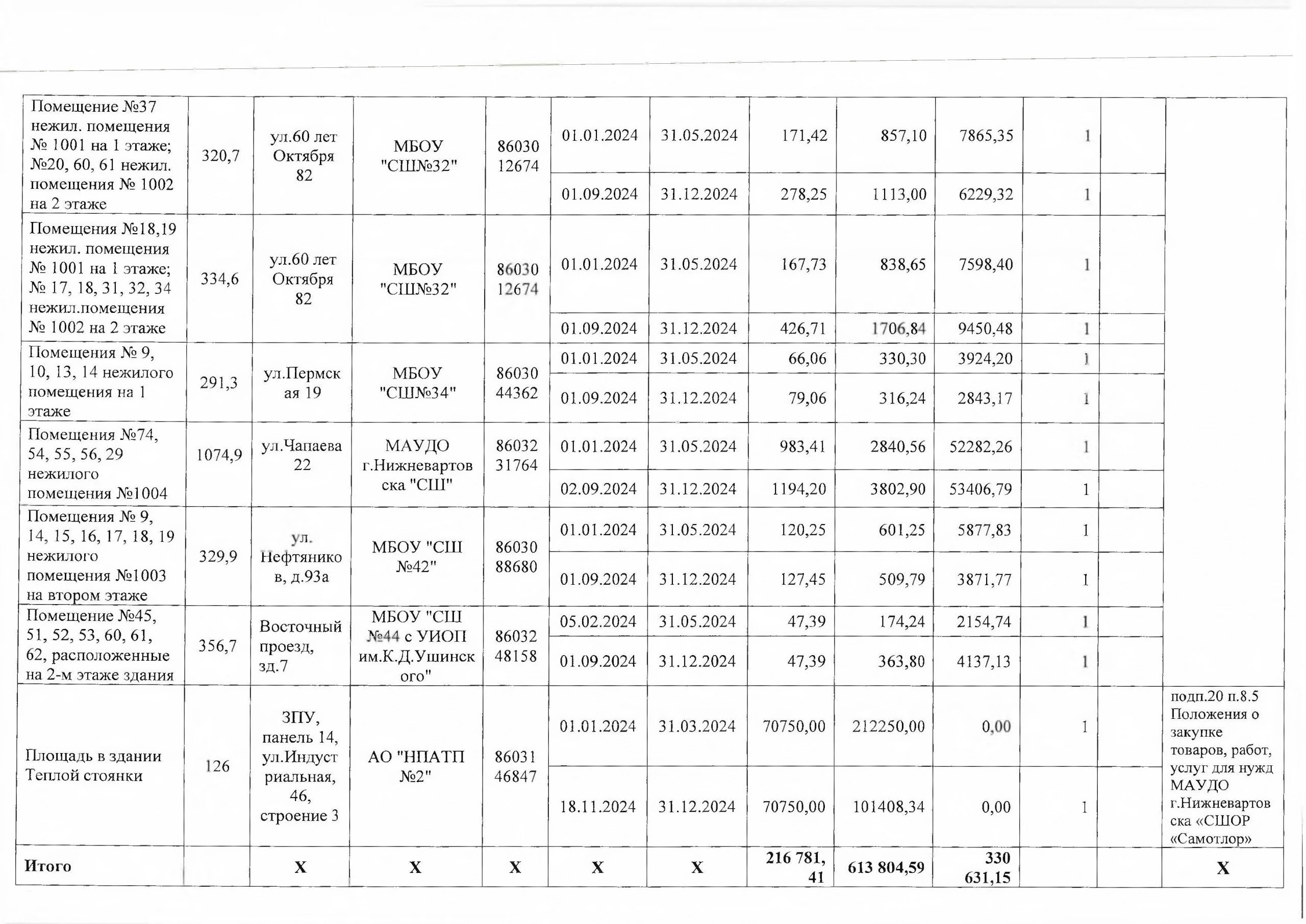
Учреждение представило «Отчет о результатах деятельности МАУДО г.Нижневартовска «СШОР «Самотлор» и об использовании закрепленного за ним муниципального имущества по состоянию на 1 января 2025г.

Данные о правообладателе фото и видеоматериалов взяты с сайта «NV86.ru», подробнее в Условиях использования
Анализ
×