Названы новые расходы на питание профессиональных воронежских хоккеистов

Названы новые расходы на питание профессиональных воронежских хоккеистов

Оказание услуги по организации питания спортсменов (игроков) профессионального спортивного клуба по хоккею будет стоить 2100 рублей в сутки, - за один завтрак, обед и ужин. О таких новых расценках сообщается в документах Автономного учреждения Воронежской области «Центр спортивной подготовки сборных команд», это ведомственная организация областного министерства физической культуры и спорта. Она заплатит за этот «сервис» 1 млн 89 тысяч рублей.

Согласно сентябрьскому контракту, питание профессиональных хоккеистов ещё стоило 1500 рублей (за 1 человеко-день). За три месяца роста почти 30 процентов! Стоит отметить, что в документах ведомства не говорится, что речь идет именно о питании спортсменов из «Хоккейного клуба «Буран Воронеж». Более того, в документах написано, что услуги по питанию спортсменов профессионального спортивного клуба по хоккею оплачиваются не за счет привлечения бюджетных средств.

скиншот из открытых данных

данные за сентябрь о расходование денег на питание профессиональных хоккеистов

В таком случае непонятно, как бюджетная организация «Центр спортивной подготовки сборных команд», которую три недели назад возглавил Дмитрий Извеков, привлекает внебюджетные источники на организацию питания воронежских профессиональных хоккеистов? 

Если это не делается за счет средств бюджета области, то кто кормит воронежских профессиональных хоккеистов? И если вопрос питания профессиональных хоккеистов финансируется не за счет бюджетных денег, так причем тут правительственная структура – АУ «Центр спортивной подготовки сборных команд»?

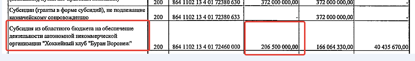
Согласно правительственным данным, в 2024 году бюджет области потратит 206,5 млн рублей в качестве субсидии на обеспечение деятельности «Хоккейного клуба «Буран Воронеж». За 9 месяцев текущего года налогоплательщики заплатили за просмотр этого «сервиса», его игр, 166 млн рублей.

скриншот сайта облправительства, на содержание "Бурана" за январь-сентябрь 2024 г. было израсходовано облбюджетом 1666 млн рублей

По 2025 году затраты облбюджета на «Хоккейный клуб «Буран Воронеж», согласно законопроекту «О бюджете области на 2025-й год», пока остаются на уровне текущего года – 206,5 млн рублей. Как и у ФК «Факел» - 370 млн рублей.

скриншот из проекта облбюджета на 2025 год

Владимир Даньшин

Данные о правообладателе фото и видеоматериалов взяты с сайта «Блокнот Воронеж», подробнее в Условиях использования